EL NÚMERO ÁUREO
Denominaciones:
Número áureo, número de oro, número dorado, número fi, número F, razón extrema y media, razón dorada, razón áurea, media áurea, proporción áurea, sección áurea, divina proporción, número de Dios, número más bello, etc.
Definición:
El número áureo es un número irracional, es decir, es un número infinito, no exacto y no periódico. Se origina a través de una construcción geométrica, cuya relación o proporción entre dos segmentos de una recta (una mayor que la otra) es que al dividir la longitud total entre la longitud del segmento mayor, obtenemos el mismo resultado que al dividir la longitud del segmento mayor entre la longitud del menor:
Historia:
325 a.C. – Euclides: Según el tratado “Los Elementos de Euclides”, una recta ha sido cortada en extrema y media razón cuando la recta entera es al segmento mayor como el segmento mayor es al segmento menor, además, este número es irracional y que no se puede describir como la razón de dos numero enteros.
1509 – Luca Pacioli: En su obra denominada "De Divina Proportione" (La Divina Proporción), considera al número áureo como Divino, por ser único, por representar a tres segmentos como una Trinidad, por su inconmensurabilidad, omnipresencia e invariabilidad equivalentes a la de Dios, además, porque el número áureo está incluido en el dodecaedro que representa a la quinta esencia que dio origen al universo.
1835 – Martin Ohm: En su libro “Die Reine Elementar Matematik” (Las matemáticas puras elementales), denomina a la proporción del segmento como: la sección dorada.
1900: Mark Barr: Propuso representar al número áureo con la letra griega ϕ, o “phi” en honor al arquitecto y escultor griego Phidias (supervisor del Partenón de Atenas y otras obras cuya construcción contiene a la proporción áurea).
Cálculo del número áureo:
Se divide una línea en dos partes de modo que: la parte más larga (a) dividida por la parte más corta (b) también sea igual a la longitud total (a + b) dividida por la parte más larga (a), entonces tendrá el proporción áurea (1.618…)
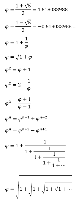
Algunas Propiedades:
RECTÁNGULO DORADO
Es un rectángulo que tiene proporcionalidad entre sus lados, igual a la razón áurea; es decir, que cuando al rectángulo se le resta un cuadrado, queda un rectángulo más pequeño de la misma forma.
Los pasos para dibujar un rectángulo dorado son:
1. Dibujar un cuadrado (de 2 cm de lado).
2. Colocar un punto medio en un lado.
3. Dibujar una línea desde ese punto hasta una esquina opuesta (cuya longitud por teorema de Pitágoras será √5).
• Girar esa línea a lo largo del lado del cuadrado hasta la base (observar que la línea es el radio de una circunferencia.• Trazar una perpendicular para crear un rectángulo basado en la proporción áurea.
SUCESIÓN FIBONACCI
La Sucesión Fibonacci es una serie numérica infinita que comienza con 0 y 1 y que a partir de ellos se suman los dos números consecutivos, resultando: 0, 1, 1, 2, 3, 5, 8, 13, 21, 34, 55,… Esta sucesión fue descrita por vez primera, por el matemático italiano Leonardo de Pisa conocido como Fibonacci. La relación entre la Sucesión Fibonacci y el número áureo, es que la división de cada par de números consecutivos de la sucesión se aproxima al número áureo (1,618033988…), de hecho, cuanto mayor sea el par de números de Fibonacci, más cercana será la aproximación.
Si comparamos la secuencia de Fibonacci con un rectángulo dorado, se tiene lo siguiente:
TRIÁNGULO DORADO
El triángulo dorado, es un triángulo isósceles en el que la longitud del lado duplicado está en la proporción del número áureo con respecto a la longitud del lado distinto, los ángulos de la base son 72° cada uno y ángulo del vértice 36°. El triángulo áureo también se identifica como el único triángulo que tiene sus tres ángulos en proporciones de 2: 2: 1. Además se encuentran entre las diagonales de un pentagrama y en un decágono, o un polígono de diez lados, conectando el centro con dos vértices adyacentes. (1)
En todo triángulo áureo la medida de los lados iguales está en la razón áurea respecto del lado desigual.
GNOMON ÁUREO
“Es el triángulo isósceles obtuso en el que la relación entre la longitud de los lados iguales (más cortos) y la longitud del tercer lado es el recíproco de la proporción áurea. El gnomon áureo también se identifica de forma única como un triángulo que tiene sus tres ángulos en proporción 1: 1: 3. El ángulo agudo es de 36 grados, que es el mismo que el del vértice del triángulo áureo”. (1)
ESPIRAL DE DURERO
Es un tipo de espiral logarítmica que se forma a partir de la construcción de rectángulos dorados, fue descrita por el artista alemán Alberto Durero en 1525 en su publicación “Instrucción sobre la medida con regla y compás de figuras planas y sólidas”. Al dividir el lado mayor entre el lado menor de cada rectángulo áureo, vemos que en todas las divisiones aparece el número de oro 1.618033.
ESPIRAL DE FIBONACCI
Es un tipo de espiral que se forma a partir de los rectángulos dorados y la sucesión Fibonacci; a diferencia de la espiral de Durero, esta espiral inicia con dos cuadrados iguales, además, el cociente de dos valores sucesivos se aproxima al número áureo a medida crece la sucesión. Para su construcción, trazamos arcos de circunferencias, uniendo dos vértices opuestos de los sucesivos cuadrados obtenidos, tal como se observa en la siguiente figura:
ESPIRALES EN TRIÁNGULOS ÁUREOS
“Si tomamos un triángulo isósceles cuyos lados estén en la proporción áurea, y trazamos la bisectriz de uno de los ángulos de 72° se obtiene otro triángulo que tiene las mismas propiedades que el original. Si este proceso lo hacemos indefinidamente obtenemos siempre triángulos isósceles que todos tienen las mismas propiedades del original. La espiral se construye uniendo mediante arcos de circunferencia los vértices consecutivos de estos triángulos y aumenta en cada cuarto de vuelta aproximadamente 1.618034 veces el tamaño anterior, es decir, que el factor de crecimiento es el número de oro.” (2)
ROMBO DORADO
Es un rombo en el que la proporción de las diagonales (larga y corta) es igual al número áureo φ. Se forma a partir de la conexión de los puntos medios de un rectángulo dorado. Además si la diagonal corta es igual a 1 la diagonal larga será φ.
PENTÁGONO Y ESTRELLA PENTAGONAL
En todo pentágono regular, la diagonal y el lado guardan la proporción áurea. Cada ángulo interior del pentágono regular mide 108°, lo que coincide con el ángulo obtuso del gnomon áureo y el triángulo áureo.
La proporción áurea, se encuentra en el pentágono regular y su pentagrama de diagonales, así por ejemplo; un cuadrado y dos rectángulos dorados están unidos al pentágono y sus pentagrama.
El pentagrama, estrella pentagonal o estrella pitagórica es un polígono estrellado de cinco vértices cuyos ángulos interiores miden 36° y que se dibuja a partir de un pentágono regular, cada línea está dividida en segmentos más pequeños, y si se divide la longitud del segmento más largo por el segmento más corto de cualquier par de segmentos, se obtiene φ. (3)
SÓLIDOS PLATÓNICOS
El número áureo está relacionado con los sólidos platónicos, en particular con el icosaedro y el dodecaedro, cuyas dimensiones están dadas en términos del número áureo. Si tres rectángulos áureos se solapan paralelamente en sus centros, los 12 vértices de los tres rectángulos áureos coinciden exactamente con los vértices de un icosaedro, y con los centros de las caras de un dodecaedro. El punto que los rectángulos tienen en común es el centro tanto del dodecaedro como del icosaedro. (4)
Además, varios poliedros notables tienen rombos áureos como caras, incluyendo: los romboedros áureos (con seis caras cada uno), el dodecaedro de Bilinski (con 12 caras), el icosaedro rómbico (con 20 caras), el triacontaedro rómbico (con 30 caras), el hexacontaedro rómbico no convexo (con 60 caras). (5)
PROPORCIÓN ÁUREA EN LA NATURALEZA
Referencias: (1), (2), (3), (4), (5), (6), (7), (8), (9), (10), (11), (12), (13), (14), (15).

















No hay comentarios:
Publicar un comentario